- 全國統一銷售熱線:
- 北京總部:
- 010-64437473
- 上海:
- 021-62113795
- 深圳:
- 0755-86241216
高壓清洗機之高壓膠管的理論計算分析
時間:2012-04-28 來源: http://www.qqgwb.com
近年來,高壓清洗機在我國的發展非常迅速。但由于不同廠家的清洗機型號壓力均各不相同,所以高壓膠管的選配是很重要的,其選配如果不合適將對高壓清洗機的清洗效率和能耗造成很大的影響,以至于不能達到我們想要的清洗效果。
為了方便討論,我們先做出以下假定:
(1)介質為常溫清水。
(2)水流是連續的。
(3)水不可壓縮。
(4)系統中過流部件中沒有幾何形變。

設泵出口處為斷面1,噴嘴噴口處為斷面2,根據伯努力方程可得出:
其中
—泵、噴嘴的幾何高度、
—泵、噴嘴出口處平均壓力、ρ—水的密度、
—泵出口處、噴嘴處平均流速、g—重力加速度、ΣΗ—斷面1至斷面2間的總水頭損失
因為
,
,
,故忽略
、
、
項,
則公式(1)可以簡化為:
公式(2)
從公式(2)可以明顯看出,當泵的排出壓力不變時,水頭損失ΣΗ的大小就決定了平均動能,為了提高平均動能,增加沖擊力,就要設法減少總水頭損失ΣΗ。
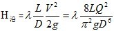
從水力學可知
其中
公式(4)
公式(5)中
—沿程水頭損失、
—局部總水頭損失、λ—沿程水頭損失系數、L—膠管總長度、D—膠管內徑、V—膠管中水的平均流速
Q—泵的平均流量、
—局部水頭損失系數
在公式(4)、(5)中,
、λ的變化不很大,對一個固定裝置可視為常數,所有對ΣΗ影響對大的膠管內徑 D 和局部過流面內徑
,其次是泵的流量,第三是膠管的長度與產生局部水頭損失環節的數量。為了提高噴射動能,降低總水頭損失,就要依次考慮上面三個方面因素。
我們曾經對一臺高壓清洗機進行試驗,其參數如下:壓力為200bar、流量為133l/min、高壓膠管長度為15m、內徑13m。試驗測得ΣΗ=50bar,占額定排出壓力的25%。這說明ΣΗ值對清洗效率和能耗造成的影響很大。
- 標簽:
- 高壓清洗機
- 高壓膠管
- 高壓軟管
- 高壓管
燃油熱水高壓清洗機燃油噴射器的使用調節
2014-11-24
高壓清洗機噴嘴參數選擇方法—估算法
2013-04-10
高壓清洗機噴嘴壓力及流道結垢對射流收縮
2015-01-19
高壓清洗噴嘴、噴頭的性能參數
2017-06-30
巧選中厚板軋機高壓水除鱗系統噴嘴和配置
2016-07-27
高壓清洗機日常維護:噴嘴的磨損因素及更
2018-08-22
高壓水去毛刺機專用噴嘴介紹
2018-07-16
高壓水射流破碎混凝土的優點
2018-07-04
高壓清洗機在管道清洗時的注意事項
2018-06-28
高壓水射流清洗安全注意事項
2018-06-20



